Relative Volatility Index
Typ
Oszillator
Kurze Einführung
Donald Dorsey entwickelte auf Basis des RSI nach Wilder den Relative Volatility Index (RVI), um so Signale anderer Indikatoren durch die Entwicklung der Volatilität bestätigen zu lassen. Eigene Signale liefert der RVI nicht.
Aussage
Der RVI bewegt sich zwischen 0 und 100, die Mittelpunktslinie liegt bei 50. Da die Berechnung dies RVI nicht trivial ist, verzichten wir hier auf eine genaue Herleitung. Mathematisch interessierte Leser können sich die unten aufgeführte Formel genauer anschauen.
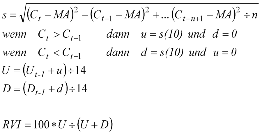
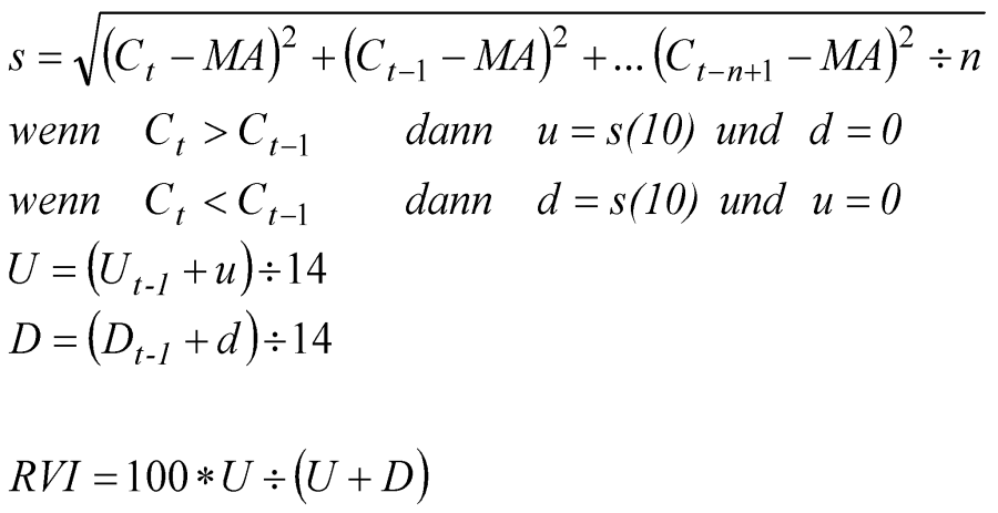
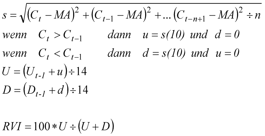
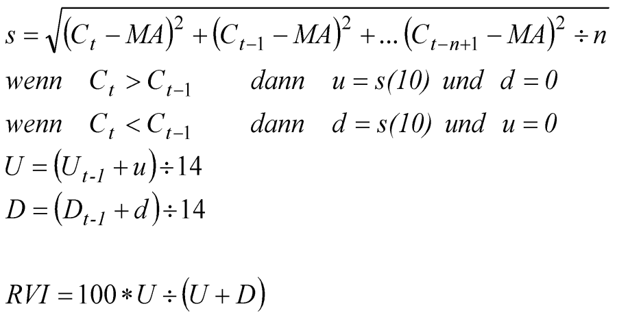
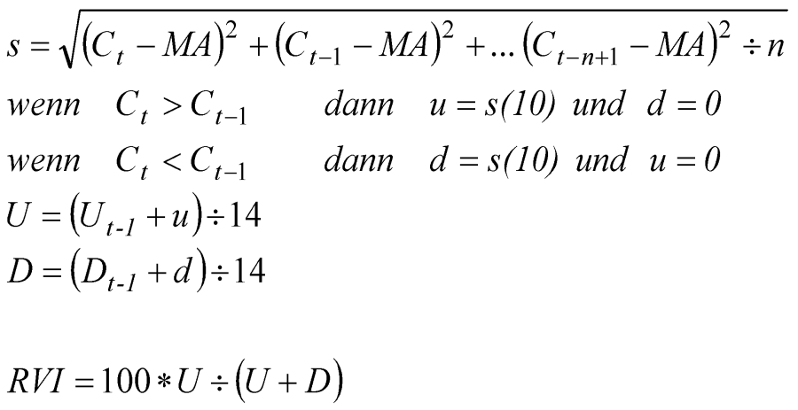
Formel/Berechnung

wobei:
s = Standardabweichung
U = durchschnittliche Standardabweichung der letzten n Aufwärtstage
D = durchschnittliche Standardabweichung der letzten n Abwärtstage
Interpretation
Der RVI selbst liefert keine Signale, er hat nur bestätigenden Charakter. Positiv ist der RVI dann zu bewerten, wenn er über 60 notiert, das Gegensignal tritt ein, wenn der RVI auf unter 40 fällt. Der RVI ist negativ zu bewerten, wenn er unter 40 notiert, das Gegensignal wird erzeugt, wenn der RVI auf über 60 steigt.
Kaufsignale, die auf Basis von Kreuzungen mit dem GD erzeugt werden, sollen nur beachtet werden, wenn der RVI über 50 notiert, Verkaufsignale nur dann, wenn der RVI unter 50 liegt.
Eine Möglichkeit eigenständige Signale des RVI zu suchen, ist die Untersuchung von Divergenzen. Ein negatives Signal ist dann gegeben, wenn der Basiswert noch neue Höchststände ausbildet, während der Indikator keine neuen Hochs mehr bildet, ein positives Signal ist dann gegeben, wenn der eigentliche Kursverlauf noch neue Tiefs bildet, der Indikator aber nicht mehr.

Standardeinstellung
- täglich, der GD wird standardmäßig über 14 Tage berechnet.
Basishandelssysteme
- Relative Volatility Index (RVI)

Das Basishandelssystem "Relative Volatility Index (RVI)" hat die Standardeinstellung 14 Tage für den GD und 10 für den Standardabweichungszeitraum. Zudem sind zwei Hilfslinien bei 60 und 40 eingezeichnet. Es liefert Kaufsignale, wenn der Indikator die Linie bei 40 von unten nach oben durchbricht. Diese werden glattgestellt, wenn der Indikator diese untere Linie danach von oben nach unten durchbricht. Das Basishandelssystem liefert Verkaufssignale, wenn der Indikator die obere Linie bei 60 von oben nach unten durchbricht. Analog werden diese glattgestellt, wenn der Indikator danach die Linie bei 60 von unten nach oben durchbricht.