Commodity Channel Index
Typ
Trendintensitäts-Indikator
Kurze Einführung
Der Commodity Channel Index (CCI) wurde von Donald Lambert entwickelt. Er wollte mit diesem Indikator Anfang und Ende von Rohstoffzyklen feststellen.
Aussage
Der CCI berechnet einen Wert, der den Abstand zum GD misst. Ab einem gewissen Abstand geht Lambert von einem neuen Trend aus - der Indikator liefert ein Signal.
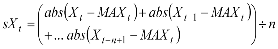
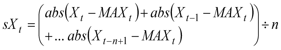
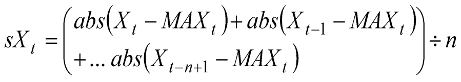
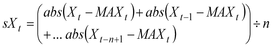
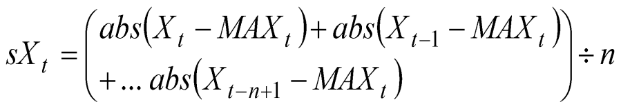
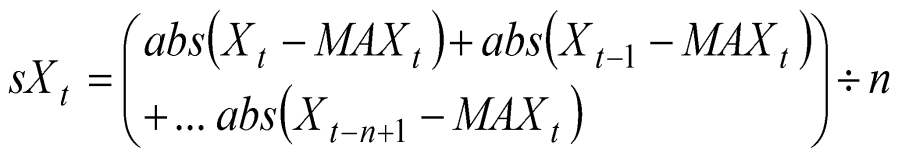
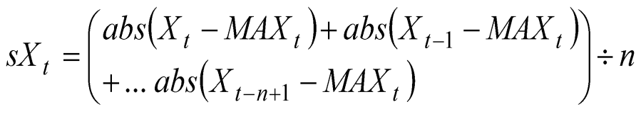
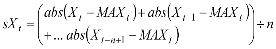
Formel/Berechnung
Die Berechnung des Indikators ist komplex, da sie in mehreren Schritten erfolgt. Im ersten Schritt wird ein sogenannter typischer Kurs gebildet. Hierzu werden der höchste, tiefste und letzte Kurs addiert und dann durch 3 geteilt. Auf Basis dieser typischen Kurse wird dann ein GD errechnet. Im dritten Schritt wird die Standardabweichung Typischer Kurs / GD berechnet. Der letzte Schritt baut den eigentlichen CCI auf. Der Indikator schwankt um die Nulllinie, ist nach oben und unten aber nicht begrenzt.




wobei:
X = signifikanter Kurs
MAX = Moving Average von X
sX = Standardabweichung von X
abs = Absolutbetrag
Interpretation
Die Nulllinie selbst hat bei diesem Indikator anders als bei vielen anderen Trendfolgern und Trendintensitäts-Indikatoren keine Bedeutung. Es werden, so von Lambert vorgeschlagen, im Allgemeinen zwei weitere Linien bei 100 und –100 eingetragen. Bewegt sich der Indikator zwischen den beiden Linien spricht Lambert von einem trendlosen Markt, da der Abstand zwischen Kurs und GD gemäß CCI-Definition zu klein ist, um einen Trend ausmachen zu können.
Ein Kaufsignal wird geliefert, wenn der Indikator von unten nach oben durch die 100-Linie bricht. Diese Position muss verkauft (glattgestellt) werden, wenn der Indikator wieder unter die 100-Linie fällt.

Ein Verkaufssignal im Sinne eines Leerverkaufs liefert der Indikator, wenn er die Linie bei -100 von oben nach unten durchbricht. Diese Position muss durch einen Kauf wieder aufgelöst werden, wenn die Linie bei -100 wieder von unten nach oben durchstoßen wird.
Standardeinstellung
- Normale Anwendung: 20 Wochen
- Extrem kurz: 20 Tage
Basishandelssysteme
- Commodity Channel Index (CCI)

In seiner Standardeinstellung liefert das BHS ein Kaufsignal, wenn der Indikator von unten nach oben durch die +100-Linie bricht. Diese Position wird glattgestellt, wenn der Indikator wieder unter die +100-Linie fällt. Das BHS liefert ein Verkaufssignal, wenn der Indikator die –100-Linie von oben nach unten durchbricht. Diese Position wird analog glattgestellt, wenn die –100-Linie wieder von unten nach oben geschnitten wird.