Volatility
Type
Mathematical code number
Short introduction
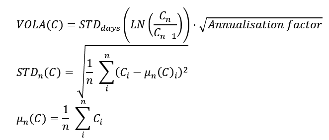
Volatility (VOLA) is a measure of the mobility of a security. Volatility indicates the percentage by which the price of a security can fluctuate over a period of one year, based on previous price changes.
Statement
Volatility is a key figure that quantifies fluctuations in a value. The higher the fluctuation, the higher the volatility.
Volatility is also included in the calculation of OS ratios according to the Black/Scholes model.
Formula/calculation

Interpretation
A VOLA of 20% means that this security can fluctuate from +20% to -20%. Like all statistical data, this figure should be treated with caution.
First and foremost, volatility is a comparative value for selecting the security that is expected to have the strongest price movements.
Default setting
- 10 days
Basic trading systems
- None
Related indicators
- none